近日,bat365中文官方网站能源与动力学院王雨萌博士以我校为第一单位,在工程技术与化学化工领域顶刊《Chemical Engineering Journal》上发表重要研究成果。
《Chemical Engineering Journal》是工程技术与化学化工领域最有影响力的三大顶级刊物之一,报道工程领域化学反应工程及材料合成应用等方面重要的科学研究成果和创新技术。在中国科学院分区中为工程技术/化学/环境类1区Top期刊。

论文链接:https://doi.org/10.1016/j.cej.2023.143294
砷钙渣属于高危砷固废,在中性环境中砷钙渣的堆存会发生溶解并向周围水土环境释放大量的砷,这些砷释放到周边的土壤以及水体中,造成周边农田土壤砷含量超标,严重危害周边的自然生态环境和居民的生活环境,威胁人类健康的同时也对自然和社会产生极大危害。并且堆存的含砷废渣存在占地空间大,储存成本高等问题,极大增加了企业负担,造成了资源的浪费。因此,冶炼企业亟需新技术来实现对砷钙渣的稳定化处理,进而减少对环境和社会的影响。

图1 砷酸亚铁固砷法的机理


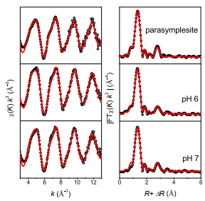
图2 利用砷酸亚铁固砷法处理后的砷钙渣浆液液相与固相表征结果证实了本方法的可靠性
王雨萌博士以有色冶炼产生的砷钙渣为研究对象,探索采用添加亚铁盐诱导形成稳定含砷矿物(纤砷铁矿和副砷铁矿)的形式,初步建立了一种砷钙渣原位稳定化方法(图1)。研究结果表明,亚铁盐的添加可大幅提高砷钙渣在弱酸至弱碱性条件下的稳定性。在铁/砷=1、2和pH 6、7的有/缺氧条件下,加亚铁盐处理转化550天后液相中砷浓度从初始的>846 mg/L降至<1.2 mg/L。X射线衍射、扫描电镜、透射电镜及同步辐射结果表明(图2),纤砷铁矿和副砷铁矿的形成是控制砷稳定性和砷重新再分配的主要矿物相,氧气条件是控制副砷铁矿及纤砷铁矿稳定性的主要因素。砷酸亚铁固砷法的优点在于考虑到砷钙渣堆内外氧化还原条件的不同,并通过对砷钙渣喷洒亚铁盐药剂就可实现砷钙渣的稳定化,该方法成本低且操作简单。

作者简介:
王雨萌,女,中国科学院大学工学博士,bat365中文官方网站能源与动力学院能源与动力系讲师。能动专业科研团队(低品位碳基能源热化学转化与催化燃烧技术、煤及生物质混合清洁燃烧)骨干成员。长期从事能源环境方面教学科研工作,主要学术方向为:固体废弃物稳定化与资源化研究。参与完成国家自然科学基金重点项目(有色冶炼含砷废渣长期稳定性的分子机制及调控)、国家自然科学基金面上项目(酸性矿山废水中无定形次生含砷矿物的赋存分子形态及稳定性研究)等四项国家自然科学基金资助项目。迄今为止,已获授权国家发明专利3项,并在J. Hazard Mater,Sci Total Environ,Chem. Eng. J.等国际著名期刊发表多篇学术论文。